Updates, ideas and resources

인천대 반도체 공정 실습
이론
About CleanRoom
[Class]
보통 클린룸의 청정도는 Class라는 단위를 이용해서 클린룸 내 공기 중 Particle/Dust 수를 특정 크기 범위로 나눈 등급으로 나타냅니다. 클린룸 Class가 낮을수록 입자 수 제어가 높아지며, 이는 반도체 제조와 같이 Particle/Dust에 민감한 작업에서 중요합니다.
Example
- Class 1: 0.1μm 이상의 입자 수가 1개 이하
- Class 10: 0.5μm 이상의 입자 수가 10개 이하
- Class 100: 0.5μm 이상의 입자 수가 100개 이하
등급이 낮을수록 까다로운 표준을 충족하며, 반도체 제조와 같이 Particle/Dust에 민감한 작업에 사용됩니다.
[방진복]
클린룸 진입 전 방진복 착용 순서는 다음과 같이 진행되었습니다
착용순서 : 장갑 -> 마스크 -> 방진모 -> 방진복 -> 방진화
이후 방진복을 착용한 상태에서 에어샤워를 통해 클린룸에 입실하여 실습을 시작하였습니다.
About IGZO TFT
ndium Gallium Zinc Oxide Thin Film Transistor (IGZO TFT)는 특수한 소재로 만들어진 박막 트랜지스터로, 현대 전자 기기에서 주로 사용되는 디스플레이 및 반도체 소자 중 하나입니다. 이러한 TFT는 다양한 기기에서 고해상도 및 높은 성능을 제공하는 특징을 갖고 있습니다.
[소재 (IGZO)]
- IGZO는 인듐(In), 갈륨(Ga), 아연(Zn), 산소(O)로 이루어진 박막 소재
- 해당 소재는 안정성이 뛰어나며, 고전자 이동도를 제공하여 전류의 효율적인 흐름을 가능케하는 장점이 있음
[제조 과정]
Gate Photo -> Gate Metal Deposition -> Lift Off -> Gate Inuslator Deposition -> IGZO Deposition -> Channel Photo -> Wet Etching -> Annealing -> S/D Photo -> S/D Metal Deposition -> Lift Off -> Gate Open -> Wet Etching -> EDS
[동작 원리]
- IGZO가 트렌지스터 구조에서 차지하는 영역을 Actice Layer로 정의
- Source와 Drain사이에 Channel을 생성해 전자를 이동시켜 전류를 발생
- 고전자 이동도와 안정된 특성은 빠른 반응 속도와 고해상도 디스플레이에 긍정적인 영향을 미침
IGZO TFT는 고해상도 디스플레이뿐만 아니라 태양전지 패널, 전자종이 디바이스 등 다양한 분야에서 사용됩니다.
특히, 디스플레이 분야에서는 고밀도 및 고해상도 디바이스에서 뛰어난 성능을 발휘합니다.
IGZO TFT는 현대 전자 기기의 핵심 소자로서, 안정성과 고성능을 결합하여 다양한 응용 분야에서 중요한 역할을 수행하고 있습니다.
IGZO TFT 공정실습
[Gate Photo]
포토 공정은 반도체 제조 공정 중에서 미세한 패턴을 형성하기 위해 빛을 사용하는 공정을 일컫습니다.
이러한 포토 공정은 노광 및 포토레지스트 기술을 사용하여 반도체 칩 내의 다양한 소자들을 정의하고 형성하는 데 사용됩니다.
해당 실습과정에서는 첫번째로 Gate를 형성시켜야 하므로 특정 위치에 패터닝하는 작업을 진행합니다. (Negative PR)
PR 도포 -> Spin Coating -> Soft Bake -> 정렬 및 노광 -> PEB -> 현상 -> HardBake -> 검사
[Gate Metal Deposition]
E-beam 증착 방식을 활용하여 metal을 증착시킵니다. Adhesion 향상을 위해 먼저 Ti를 증착 후 Cu를 증착시킵니다.
E-Beam Evaporation은 박막 증착 기술 중 하나로, 고진공 환경에서 진행이 되며 전자빔을 이용하여 물질을 가열하여 증발시키고 그 증발된 물질을 타겟에 증착시키는 공정입니다.
보통 얇은 박막을 증착시키는데 사용 되는 공정 중 하나입니다.
[Lift Off]
이번 실습과정에서는 Lift Off 공정 방식을 이용하였습니다. 해당 공정은 반도체 제조 및 나노패턴 형성 공정에서 사용되는 중요한 단계 중 하나입니다.
포토 공정 -> 박막 증착 -> PR 제거
해당 고정은 식각공정을 통한 패터닝 방식과는 다르게 식각공정이 없어 공정이 매우 간결합니다. 또한 박막 표면 손상이 거의 없다는 점에서 큰 장점을 가지고 있습니다. 다만 위와 같은 장점에도 불고하고 미세한 공정을 진행할 때는 매우 치명적인 단점을 가지고 있습니다. 두꺼운 PR을 요구하여 두께가 매우 크며 Negative PR이 필수적으로 요구되는데 이는 미세한 패터닝이 어렵다는 단점이 있습니다.
[Gate Inuslator Deposition]
해당 공정에서는 ALD 증착방식을 이용하여 Gate Insulator을 증착시킵니다.
ALD는 나노 레벨의 박막을 매우 정밀하게 증착하는 데 사용되는 증착 기술 중 하나이며 이전 증착 방식들(sputtering, E-beam, PECVD...)의 단점을 보완한 방식입니다.
ALD는 기체 상태의 선구체 분자를 순서대로 표면에 증착하여 원하는 두께와 특성의 박막을 천천히 형성합니다.
원자 단위 수준에서 제어하는 만큼 박막의 퀄리티가 매우 높으며 얇은 박막을 형성하는데 유리합니다. 또한 step-coverage 측면에서 유리하다는 장점이 있습니다.
다만 속도, 생산성, 비용적인 측면에서 제약을 가지고 있습니다.
[IGZO 증착 ~ Annealing]
해당 공정에서는 sputtering 증착방식을 이용하여 IGZO를 증착시킬 것입니다.
기판을 진공 챔버에 고정시키고, IGZO 타겟은 고에너지 이온 충돌을 통해 소자의 표면에 증착됩니다.
고에너지 이온의 충돌은 타겟에서 원소들을 떨어뜨려 기판 표면에 증착되게 하며, 원소들이 결합하여 IGZO 박막이 형성됩니다.
해당 공정에서 sputtering을 사용한 이유는 다음과 같습니다.
- Sputtering은 고온이 필요하지 않아 박막의 높은 결정도를 제공
- 증착 과정에서 원소의 비율을 조절할 수 있어, IGZO의 특성을 원하는 대로 조절 가능
- 증착된 IGZO 박막은 우수한 전자 이동도와 광학적 투명성을 제공
위 과정이 끝난 후 wet Etching을 진행 후 안정화를 위해 고온에서 Annealing을 진행시킵니다.
[S/D Photo and Metal Deposition]
이제 Source와 Drain 패턴을 위해 2차 포토공정을 진행합니다. 이전 1차 Gate 포토에서는 조교님들이 진행하였지만 이번에는 직접 실습할 수 있는 기회를 가지게 되었습니다. Metal(Ti/Cu) 증착 또한 gate metal 증착과정과 비슷하게 E-beam 증착 방식을 이용하여 박막을 형성하였습니다. 그 후 Lift Off에 따라 PR을 제거 해줍니다.
[EDS]
최종적으로 사진과 같이 위 장비를 활용하여 정상적으로 작동하는지 확인합니다. 3개의 핀을 Gate, Source, Drain에 고정 시킨 후 정상적으로 동작하는지 확인합니다.
TCAD 툴을 활용한 P-N 다이오드 모델링과 측정
[TCAD]
TCAD는 반도체 공정 및 장치 설계에 사용되는 소프트웨어 툴입니다. 이전까지는 이론적인 식을 바탕으로 필요한 값들을 구했던 반면 이번 프로그램에서는 TCAD를 활용하여 직접 P-N 다이오드를 설계하고 측정해보는 시간을 가졌습니다. 아래 코드는 p-type 및 n-type 도핑을 정의하는 부분으로 이번 시간에 conc 값을 수정하여 시뮬레이션을 진행할 계획입니다.
doping uniform p.type conc=5e15 x.min=0 x.max=10 y.min=0 y.max=2
doping uniform n.type conc=1e16 x.min=0 x.max=10 y.min=2 y.max=4
[Doping 설정]

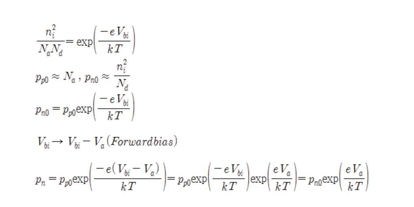
이론적인 공식에서의 Na와 Nb는 우리가 값을 수정하여 측정하는 파라미터로, 이번 프로그램에서는 Na 값을 10^12으로 고정시키고 Nb 값을 10^13 ~ 10^21 범위로, 그리고 Nb 값을 10^13으로 고정시키고 Na 값을 10^13 ~ 10^21 범위로 변화시키면서 측정을 진행했습니다. 아래는 TCAD 툴에 입력한 코드와 시뮬레이션 결과를 보여주는 사진입니다. 이번 실험을 통해 직접 손으로 계산한 이론값과 TCAD 시뮬레이션 값의 차이를 비교하고 분석하는 시간을 가졌습니다.

마무리
이번에 진행한 TFT 소자 제작 실습과 TCAD 툴을 이용한 PN Diode 값 측정은 현대 반도체 기술에 대한 실질적이고 근본적인 경험이었습니다. 실험을 통해 정기학기 때 배우지 못한 새로운 지식과 경험을 얻었고, TCAD를 통해 얻은 데이터를 토대로 정확한 PN Diode의 특성을 분석하는 데에 성공했습니다.